众力资讯网
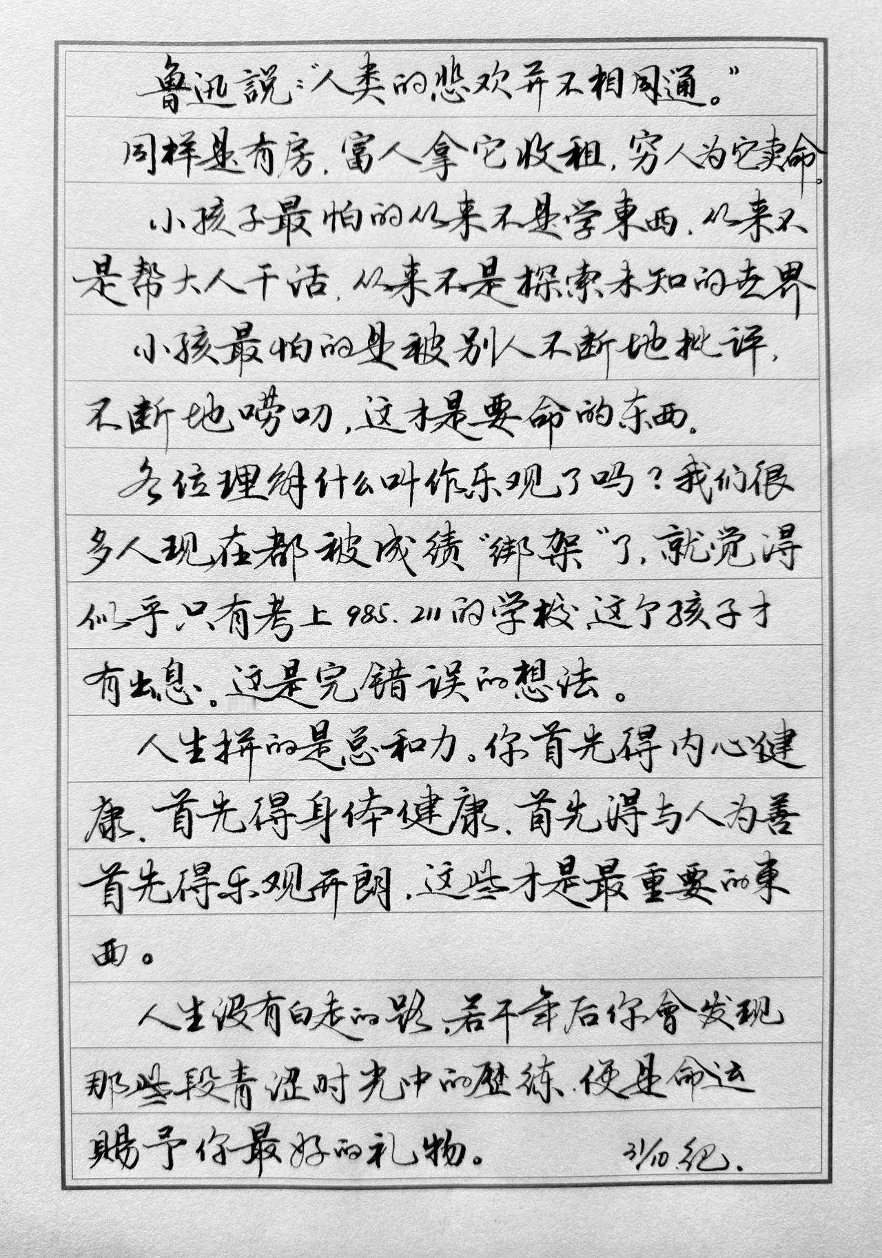
人生不是一本被规划好的书,大胆走
2025-10-29 11:59:42
社交观察站
生活
人生不是一本被规划好的书,大胆走
猜你喜欢
这3条社会和人性的潜规则,越早知道越不会吃亏。
2025-10-31
浩梓聊社会
标签:
人性
生活有各种各样完全不同的方式,你可以独自生活一辈子,也可以和另一个人一起生活一辈
2025-10-31
琰苗评情感
天花板级别的句子,值得收藏
2025-10-31
文化人纪妪
标签:
天花板
人至贱则无敌,已经无力吐槽
2025-10-30
寒月映江心
标签:
英语
李敖说:“一个人混社会,礼貌没有用,谦逊也没用,热心肠也没用,忠厚老实更
2025-10-30
映天好的聊情感
人与人之间,没有感同身受,只有嫉妒和轻视。当你有开心的事时,不要和别人
2025-10-30
西西情感啊
热门分类
推荐
热榜
军事
NBA
体育
社会
明星八卦
娱乐
财经
科技
汽车
历史
国际
游戏
动漫
公益
搞笑
商业
互联网
数码
国际足球
房产
家居
时尚
科学探索
职场
育儿
股票
教育
影视
情感
热点
中国军情
武器
中国南海
中国足球
亚洲杯
科比
综合体育
CBA
投资
楼市
大咖秀
外汇
创业
风口
SUV
豪车
概念车
优惠
新能源
美国
欧洲
朝日韩
俄罗斯
孕期
街拍
恋爱攻略
婚姻
正能量