众力资讯网
高考速解张元涛吖的文章
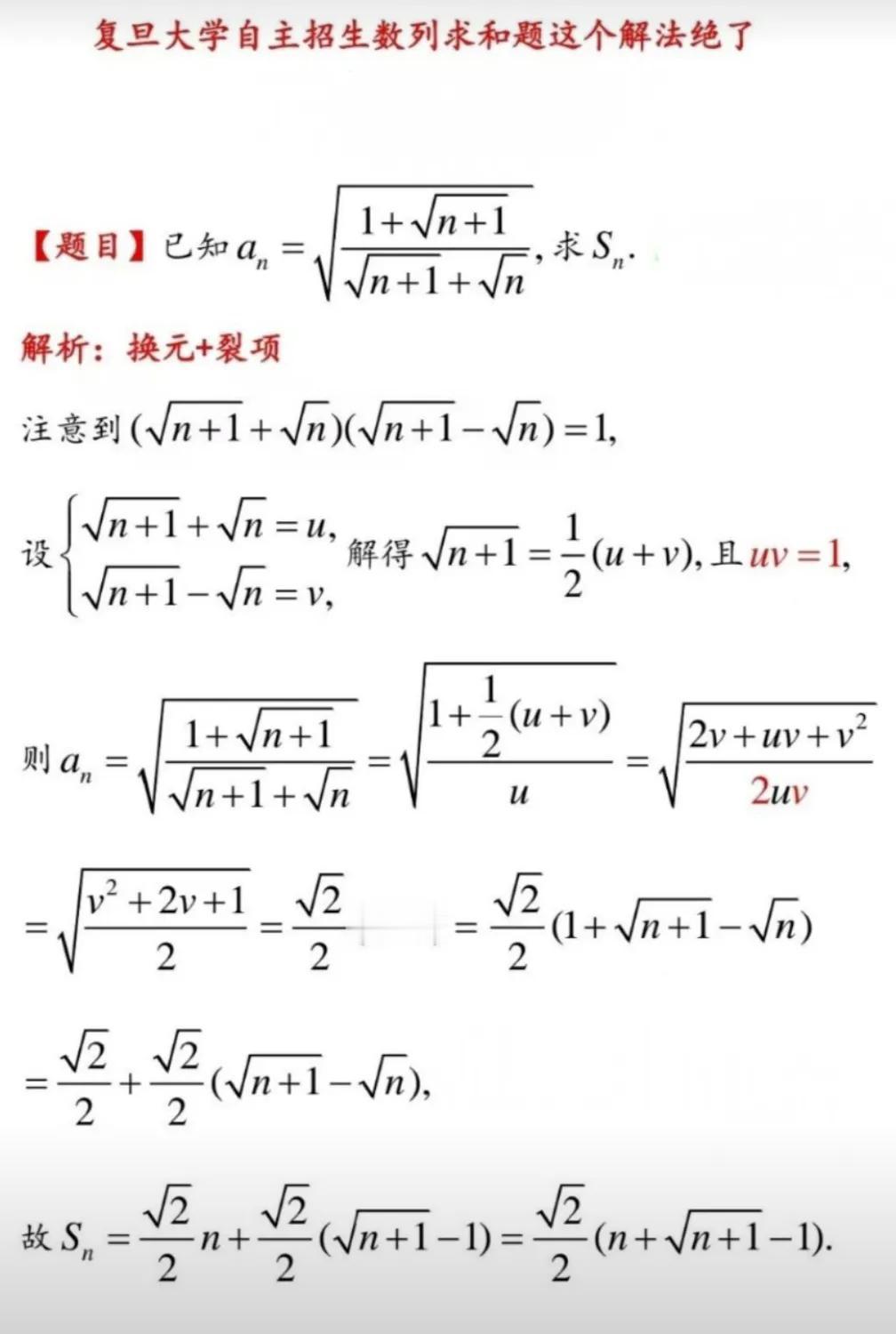
复旦大学强基数学题,这个解法🐮
2024-08-29 15:07
复旦大学强基数学题,这个解法🐮
#高考# 高中化学水溶液中的离子平衡,三大图像内在联线!
2024-08-29 15:07
#高考# 高中化学水溶液中的离子平衡,三大图像内在联线!
2024河北高考分数线,位次排名!
2024-08-29 15:07
2024河北高考分数线,位次排名!
高中化学#高考#
2024-08-29 15:07
高中化学#高考#
985高校分布图
2024-08-29 15:07
985高校分布图
导数常用三角放缩公式#导数大题攻略#
2024-08-29 15:07
导数常用三角放缩公式#导数大题攻略#
数学导数
2024-08-29 15:07
数学导数
2024年新增警校专业,国家安全学作为新专业正式纳入本科专业目录,布点高校为新疆
2024-08-29 15:07
2024年新增警校专业,国家安全学作为新专业正式纳入本科专业目录,布点高校为新疆
2024参考数据,河北省省内高校录取分数线!
2024-08-29 15:07
2024参考数据,河北省省内高校录取分数线!
#高考数学考前刷哪些题?# 下面图片里的参考书都可以看[玫瑰]
2024-08-29 15:07
#高考数学考前刷哪些题?# 下面图片里的参考书都可以看[玫瑰]
第一页
作者信息
高考速解张元涛吖
感谢大家的关注
分类: 生活
热门分类
推荐
热榜
军事
NBA
体育
社会
明星八卦
娱乐
财经
科技
汽车
历史
国际
游戏
动漫
公益
搞笑
商业
互联网
数码
国际足球
房产
家居
时尚
科学探索
职场
育儿
股票
教育
影视
情感
热点
中国军情
武器
中国南海
中国足球
亚洲杯
科比
综合体育
CBA
投资
楼市
大咖秀
外汇
创业
风口
SUV
豪车
概念车
优惠
新能源
美国
欧洲
朝日韩
俄罗斯
孕期
街拍
恋爱攻略
婚姻
正能量