众力资讯网

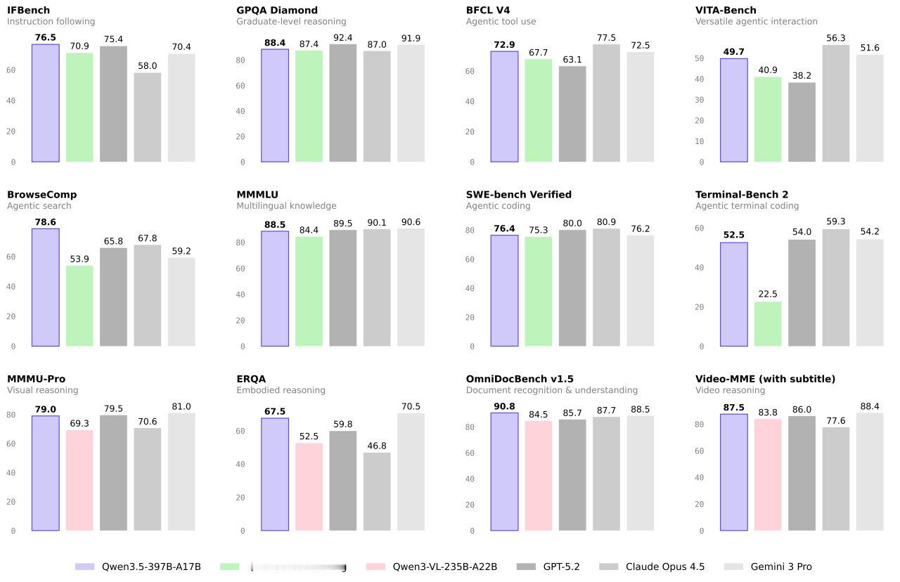
千问Qwen3.5大模型发布大家的千问红包都用掉了吗?阿里今晚除夕夜,将开源新一

千问Qwen3.5大模型发布大家的千问红包都用掉了吗?阿里今晚除夕夜,将开源新一代千问大模型Qwen3.5,不止福利放送,千问也在不断进行自我革新,Qwen3.5在模型架构上的创新,千问新一年的体验,一定会更加的“龙马精神”!