众力资讯网
千问Qwen3.5大模型发布喜大普奔!延续去年除夕开源Qwen2.5-Max的传
2026-02-16 19:07:28
帕帕科技说
科技
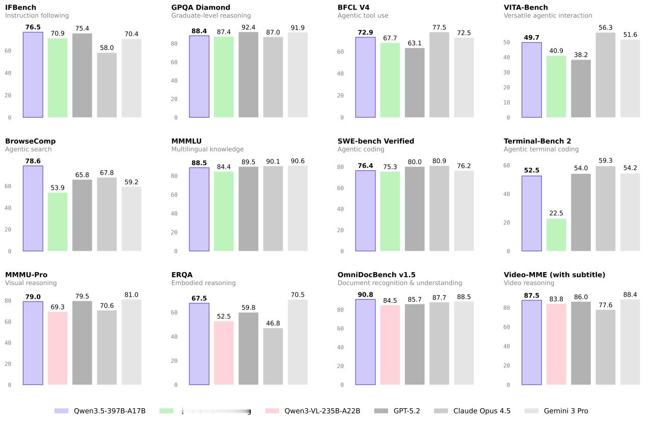
千问Qwen3.5大模型发布喜大普奔!延续去年除夕开源Qwen2.5-Max的传统,阿里将于今晚除夕夜,开源新一代千问大模型Qwen3.5!,新模型实现架构再创新、再突破,亮眼表现值得期待!
猜你喜欢
唐嫣除夕蕾丝裙秀美背
2026-02-16
沁赫看娱乐
标签:
唐嫣
蕾丝裙
春夏穿搭
白鹿年夜红裙启新篇白鹿除夕亮片裙白鹿发新照啦红裙子真的超级适合过年穿啊白鹿
2026-02-16
喜塔聊体育
标签:
白鹿
春夏穿搭
过年真正有分量的,从来不是除夕那一夜,而是除夕前的十几天。人还没闲透,心却先暖了
2026-02-15
体育岄哥
奉劝大家一句,明天就是除夕了,除夕当晚千万要记住,把平时不穿的衣服,找一
2026-02-15
森林旁边捡蘑菇人
标签:
除夕夜
一个人的除夕!7年前也是一个人过除夕,但心情却是大相径庭。7年前刚刚跟前妻离婚
2026-02-16
飞少探球
2月16日除夕,金星合木星!这3个星座将时来运转。⭐今日既是除夕,也是202
2026-02-16
暖心春雨
标签:
狮子座
天蝎座
金牛座
白羊座
星座爱情
朋友把媳妇和6个月的儿子送回娘家过年,自己带着女儿回父母家过年。听到朋友的安
2026-02-16
书瑶谈人啊
标签:
春节
明天除夕,我带老婆回老家陪我爸妈过年。没想到,老婆说:“我不回去,把你爸妈接城
2026-02-15
墨染的幻尘
热门分类
推荐
热榜
军事
NBA
体育
社会
明星八卦
娱乐
财经
科技
汽车
历史
国际
游戏
动漫
公益
搞笑
商业
互联网
数码
国际足球
房产
家居
时尚
科学探索
职场
育儿
股票
教育
影视
情感
热点
中国军情
武器
中国南海
中国足球
亚洲杯
科比
综合体育
CBA
投资
楼市
大咖秀
外汇
创业
风口
SUV
豪车
概念车
优惠
新能源
美国
欧洲
朝日韩
俄罗斯
孕期
街拍
恋爱攻略
婚姻
正能量